Định lượng dòng tuần hoàn Nitrat (NO3-) trong nước thải

Định lượng dòng tuần hoàn Nitrat đóng vai trò quan trọng trong việc xử lý Nitrat trong nước thải. Công thức nào được dùng để định lượng dòng tuần hoàn Nitrat? Và làm cách nào để tăng hiệu suất xử lý Nitrat trong nước thải? Hãy cùng Biogency tìm câu trả lời qua bài viết dưới đây.

định lượng dòng tuần hoàn nitrat

Ô nhiễm môi trường từ Nitrat (NO3-)

Ô nhiễm Nitrat trong nguồn nước đã trở thành một vấn đề môi trường nghiêm trọng. Nitrat dư thừa trong nước có thể gây ô nhiễm nước (như phú dưỡng sông và suy giảm chất lượng nước). Mặt khác, Nitrat cũng có thể bị khử thành Nitrit, gây ra một số mối đe dọa sức khỏe đối với con người, chẳng hạn như tổn thương gan và thậm chí là ung thư. Nitrat trong nước thải chủ yếu đến từ các hoạt động nông nghiệp, nước thải sinh hoạt và công nghiệp.

Nước thải bị ô nhiễm Nitrat gây nên hiện tượng phú dưỡng hóa

Hình 1. Nước thải bị ô nhiễm Nitrat gây nên hiện tượng phú dưỡng hóa.

Phương pháp xử lý sinh học được áp dụng để khử Nitrat

Nitrat thường được loại bỏ khỏi nước thải (cả công nghiệp và sinh hoạt) với phương pháp xử lý sinh học sử dụng vi khuẩn khử Nitrat. Methanol được thêm vào hoặc một nguồn Cacbon tương đương (mật rỉ đường, đường glucose,…) thường đóng vai trò là chất cung cấp điện tử cho vi khuẩn.

Trong phản ứng này, vi khuẩn khử Nitrat sẽ chuyển hóa Nitrat thành khí Nitơ tự do, oxy hóa Metanol thành Cacbon Dioxit và tạo ra nhiều vi khuẩn hơn (sinh khối). Khoảng 3 mg/L Metanol được yêu cầu cho mỗi mg/L Nitơ Nitrat. Khí Nitơ và Carbon Dioxide, là những thành phần tự nhiên của khí quyển, được thoát ra khỏi hệ thống xử lý một cách thụ động.

Phản ứng khử Nitrat diễn ra như sau:

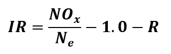
Công thức định lượng dòng tuần hoàn Nitrat

Trong đó:

  • IR: Tỉ lệ tuần hoàn nước
  • R: Tỉ lệ tuần hoàn bùn RAS
  • Nox: Lượng Nitrat sinh ra trong bể hiếu khí
  • Ne: Nồng độ Nitrat đầu ra mong muốn

Nguồn: Metcalf and Eddy

Ứng dụng men vi sinh Microbe-Lift tăng hiệu suất quá trình khử Nitrat trong nước thải

Vi sinh khử Nitrat mang tên Microbe-Lift IND được thiết kế chuyên biệt để khử Nitrat trong các hệ thống xử lý nước thải, các ao hồ đầm phá có chứa hàm lượng Nitrat cao. Vi sinh khử Nitrat Microbe-Lift IND chứa quần thể vi sinh được nuôi cấy dạng lỏng hoạt động mạnh gấp 5 đến 10 lần vi sinh khử Nitrat thông thường.

Men vi sinh Microbe-Lift IND

Hình 2. Men vi sinh Microbe-Lift IND giúp tăng cường hiệu xuất xử lý Nitrat trong hệ thống xử lý nước thải.

Ưu điểm:

  • Phân hủy được những hợp chất hữu cơ khó phân hủy như Benzene-,toluene- or xylene- (BTX).
  • Sản phẩm được sử dụng trong 03 môi trường: hiếu khí, kị khí và tùy nghi.
  • Hoạt động trong điều kiện độ mặn lên đến 40 ‰ (~ 4%).
  • Dạng lỏng kích hoạt nhanh, không cần ngâm ủ trước khi sử dụng.
  • Sử dụng được cho tất cả các loại hình nước thải có chứa chất hữu cơ.

Xử lý Nitrat tại nhà máy Xử lý nước thải tập trung KCN Long Giang, Q = 10.000 m3/nđ:

– Vấn đề của hệ thống:

  • Tổng Nitơ đầu vào 56 mg/l và đầu ra 28 mg/l. Phân tích chỉ tiêu N-NO3- là 24 mg/l.
  • SVI30 = 15%.

– Giải pháp xử lý của BIOGENCY:

  • Bổ sung chủng vi khuẩn khử Nitrat có trong Microbe-Lift IND.
  • Tăng cường dinh dưỡng: Methanol và Mật rỉ đường đầu bể Anoxic.

– Kết quả sau 02 tuần áp dụng:

  • N-NO3- đầu ra là 10 mg/l. Tổng Nitơ còn 11 mg/l.
  • Tiếp tục duy trì việc châm dinh dưỡng.

Hệ thống xử lý nước thải tập trung KCN Long Giang 10.000 m3/nđ

Hình 3. Hệ thống xử lý nước thải tập trung KCN Long Giang 10.000 m3/nđ.

Xử lý Nitrat tại nhà máy sản xuất phân bón Hà Lan, Q = 15 m3/nđ

– Vấn đề của hệ thống:

  • Tổng NH4+ đầu vào cao, thường xuyên biến động trong khoảng từ 200 mg/l đến 1000 mg/l.
  • Hệ thống xử lý nước thải hoạt động nhưng không xử lý được chỉ tiêu Amonia, việc vận hành tháp Stripping tốn nhiều chi phí, nhà máy muốn thử nghiệm cho dòng thải đầu vào đi thẳng từ bể điều hòa sang cụm Anoxic và Aerotank dẫn đến gây áp lực rất lớn đến hệ vi sinh.

– Giải pháp xử lý của BIOGENCY:

  • Xử lý Amonia bằng men vi sinh Microbe-Lift N1. Châm thêm NaOH để nâng pH, NaHCO3 để tăng độ kiềm và ổn định pH.
  • Xử lý Nitrat bằng men vi sinh Microbe-Lift IND.

– Kết quả sau 02 tuần và 04 tuần áp dụng:

Kết quả sau 02 tuần và 04 tuần áp dụng

—–

Định lượng dòng tuần hoàn Nitrat đóng vai trò quan trọng trong việc xử lý Nitrat trong nước thải. Để được hỗ trợ chi tiết về cách định lượng dòng tuần hoàn Nitrat cũng như phương án xử lý Nitrat cụ thể cho từng hệ thống nước thải, hãy liên hệ cho Biogency theo HOTLINE 0909 538 514.

>>> Xem thêm: Xử lý Nitrat trong nước thải tập trung tại Khu công nghiệp Long Giang